【市況】アジア市況 20240301(海外情報直訳)
- パナ ケミカル

- 2024年3月5日
- 読了時間: 4分
更新日:2024年5月8日
2024年3月1日現在のプライム、リサイクル、スクラッププラスチック市場の最新情報
プライムバージン価格は、中国の主要バージンポリマーウェブサイトから入手したもので、人民元(RMB)で表示されている。人民元には付加価値税が含まれており、為替レートは1米ドル=7.1968円で計算されている。

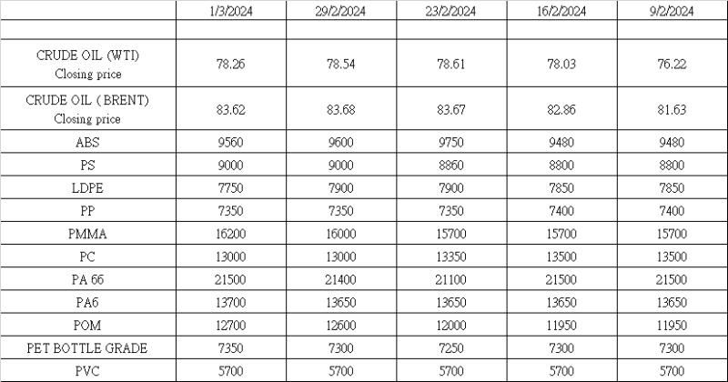
OPECプラス会合を控えた金曜日のニューヨーク市場では、今週米国で石油・ガスの掘削リグ数が増加したにもかかわらず、原油価格は79.97ドルまで上昇した。
中国では、プライム価格は狭いレンジ内で推移しており、一般プラスチックはトン当たり30ドル前後となっている。POMはトン当たり100ドルまで上昇し、PMMAはトン当たり約50ドル上昇した。川下工場は徐々に操業を再開し、原料調達を開始している。しかし、需要の低迷と不透明な経済見通しのため、北京が低迷する経済を活性化させるためにさまざまな景気刺激策を打ち出しているにもかかわらず、市場関係者は慎重に楽観視している。
中国は現在、一般プラスチックからエンジニアリング・プラスチック、高機能エンジニアリング・プラスチックまで、さまざまなプラスチック樹脂の生産能力過剰に直面している。2023年には、既存の567万トンの生産能力に216万トンのABSプライム樹脂の生産能力が追加される。さらに、2024年と2029年までの数年間には、2倍以上の追加生産能力が稼動すると予想される。中国のプライムレジン生産能力は年間2億5,000万トンを超えているが、世界の需要は約4億トンである。この生産能力過剰は中国のプラスチック市場に影響を与えるだけでなく、価格の安い国から価格の高い市場へ出荷されるため、世界市場にも影響を与える。
中国のリサイクルペレット価格はほとんど変わっておらず、プライム価格はリサイクルペレットと競合するほど低い。従来は、リサイクル材を使用することで最大50%の割引という大きな差があった。現在では、さまざまな持続可能性プログラムがリサイクル材料の使用を促進しているため、PETフレークはEUおよび米国市場向けに1トン当たり900米ドルという高値で販売されている。黒色PSとABSの価格は900~1000ドルで、これはプライム価格のほぼ85%以上である。PPとPEについては、ブラックペレットはトン当たり600ドル、ナチュラルペレットは品質と色の透明度によってトン当たり750ドルから830ドルとなっている。世界的な過剰生産能力を背景に、様々な樹脂生産国から低価格のオファーが観測されている。オフグレードのPPとPEはトン当たり750ドルから800ドルの価格で豊富に入手可能であり、リサイクル業界に確実に影響を与えるであろう。PMMAとPOMの需要は増加しているが、他のエンジニアリングリサイクルペレットは安定している。再生素材への需要が高まるにつれ、長期的にはリサイクルのバリューチェーンを支えることになるだろう。リサイクル材料を使用することによる環境の持続可能性がなければ、多くのリサイクル業者は廃業してしまうだろう。
廃プラスチックの需要は、川下製造業の手持ち注文と再生ペレットの価格に大きく左右される。EUといくつかの国がボトルに再生材の使用を義務付けているため、すべてのPETボトルとHDPEボトルは輸出国に残っており、天然PETボトルの価格は工場渡しでトン当たり440ドル、カラーPETボトルはトン当たり320ドル、天然HDPEボトルはトン当たり750ドル、カラーHDPEはトン当たり500ドルである。PEフィルムのグレードAでは、価格はCIFアジア主要港でトン当たり420ドルから460ドルである。実際、天然PEリサイクルペレットの販売価格は$750-$800レベルであり、東南アジアのリサイクル業者にとって利益はほとんどない。さらに、HDPE再生材ではインドと、ほとんどのベール材ではトルコや中東と競争することができない。HDPE再生材では、インドが提供できる価格とマレーシア、ベトナム、タイのリサイクル業者が支払える価格との間に最大200ドルの差がある。最終的な用途が、持続可能な循環経済のためではなく、経済的なコスト削減のためであれば、廃プラスチックの価格は低いままである。リサイクル業界の未来は、環境持続可能性を支えるために再生資源を利用するというコンセンサスにある。
